पूर्वाधार वाच, काठमाडौं ।
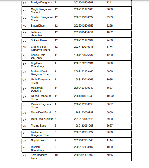
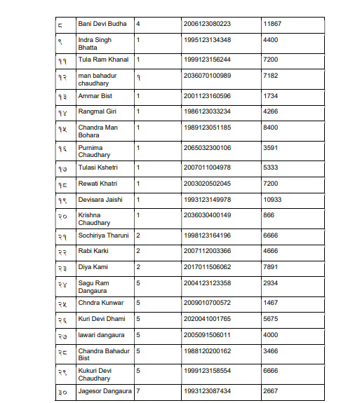
कैलालीको घोडाघोडी नगरपालिकाले ५९ जना मृतकको खातामा नियमविपरीत २ लाख ८९ हजार ७६६ रुपैयाँ सामाजिक सुरक्षा भत्ता निकासा गरेको पाइएको छ । आर्थिक वर्ष २०७९/८० मा नगरपालिकाले मृत्यु भइसकेका व्यक्तिको नाममा समेत भत्ता निकासा गरेको तथ्य भेटिएको हो ।
सामाजिक सुरक्षा भत्ता वितरण कार्यविधि, २०७७ को नियम १५ (४) मा मृत्यु भइसकेका व्यक्तिले मृत्यु भएको दिनसम्मको भत्ता निजको हकवालाले पाउने व्यवस्था छ ।
तर पालिकाले विभिन्न वडाको लाभग्राहीहरूका लागि सामाजिक सुरक्षा भत्ता वितरणका लागि रकम निकासा गरेकोमा बैंकले बुझाएको भरपाईमा मृत्यु भइसकेका व्यक्तिहरूको खातामा समेत नगद जम्मा गरेको पाइएको महालेखा परीक्षकको कार्यालयले जनाएको छ ।
पालिकाले प्रत्येक वर्ष लाभग्राहीहरूको विवरण अपडेट गरी मृत्यु भएका व्यक्तिहरूको लगत कट्टा गरी बैंकलाई रकम जम्मा गर्न आवश्यक रकम निकासा गर्नुपर्नेमा मृत्यु भएका व्यक्तिहरूको खातामा निकासा भएको भन्दै उक्त रकम असुल हुनुपर्ने महालेखाको ठहर छ ।


खबर पढेर तपाईलाई कस्तो महसुस भयो ?
मन पर्यो (१००%)
मन परेन (०%)
तटस्थ (०%)
रिस उठ्यो(०%)












प्रतिक्रिया दिनुहोस्